SOLUTION: Q: find relative and exact dimensions of the circular cylinder of the largest lateral area which can be inscribed in a sphere of radius 8 inches [surface area of a cylinder, S = 2*

Algebra ->  Surface-area -> SOLUTION: Q: find relative and exact dimensions of the circular cylinder of the largest lateral area which can be inscribed in a sphere of radius 8 inches [surface area of a cylinder, S = 2*      Log On


   



Question 221368: Q: find relative and exact dimensions of the circular cylinder of the largest lateral area which can be inscribed in a sphere of radius 8 inches [surface area of a cylinder, S = 2*pi*r*h. where r = radius, h = height.]
I think I can do this problem but i'm just confused as to what two equations to use and how and where to substitute. Please provide the work for the answer seperately so I have a chance to try it on my own but ill have your work just in case I need it anyway and to check my answer, but mostly I need a push in the right direction on how to set up and substitute the equations so I can solve them.
Thank You,
Bryan

Answer by jim_thompson5910(35256) About Me  (Show Source):
You can put this solution on YOUR website!
Let

R = radius of the sphere
r = radius of the cylinder (ie the radius of the circular faces on the cylinder)
h = height of the cylinder


If we inscribe a cylinder in a sphere, we'll get the following:




Now take a cross section of that to get




Now draw in the diagonal of the rectangle along with an extra radius. Also, add the labels of 'h', 'R' and 'r' to their appropriate places




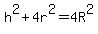
Since we have a triangle with legs of h%2F2 and r along with a hypotenuse of R, we can use the Pythagorean theorem to get the equation: %28h%2F2%29%5E2%2Br%5E2=R%5E2


%28h%2F2%29%5E2%2Br%5E2=R%5E2 Start with the given equation.


h%5E2%2F4%2Br%5E2=R%5E2 Square h%2F2 to get h%5E2%2F4


h%5E2%2B4r%5E2=4R%5E2 Multiply EVERY term by the LCD 4 to clear out the fraction.


4r%5E2=4R%5E2-h%5E2 Subtract h%5E2 from both sides.


r%5E2=%284R%5E2-h%5E2%29%2F4 Divide both sides by 4.


-----------------------------

S=pi%2Ar%5E2%2Ah Now move onto the surface area of a cylinder formula.


S=pi%2A%28%284R%5E2-h%5E2%29%2F4%29%2Ah Plug in r%5E2=%284R%5E2-h%5E2%29%2F4


S=pi%2A%28%284%2A8%5E2-h%5E2%29%2F4%29%2Ah Plug in R=8


S=pi%2A%28%284%2A64-h%5E2%29%2F4%29%2Ah Square 8 to get 64


S=pi%2A%28%28256-h%5E2%29%2F4%29%2Ah Multiply


S=pi%2A%28256h-h%5E3%29%2F4 Distribute


Take note how the surface area is now a function of the height 'h'. In other words, the height solely determines the surface area of the cylinder.


The goal now is to maximize S=pi%2A%28256h-h%5E3%29%2F4. Here are two ways to do this:

1) Derive S=pi%2A%28256h-h%5E3%29%2F4 with respect to 'h' and set that derivative equal to zero. Solve that equation to find the max.

2) Use a graphing calculator to find the highest point on S=pi%2A%28256h-h%5E3%29%2F4. The y-coordinate of this point will be the largest surface area while the x-coordinate will be the height.


I'll let you finish up.