SOLUTION: Help find lateral area surface area and volume of pyramid Height: 3cm Radius: 4cm
Algebra
->
Surface-area
-> SOLUTION: Help find lateral area surface area and volume of pyramid Height: 3cm Radius: 4cm
Log On
Geometry: Area and Surface Area
Geometry
Solvers
Solvers
Lessons
Lessons
Answers archive
Answers
Click here to see ALL problems on Surface-area
Question 1156710
:
Help find lateral area surface area and volume of pyramid
Height: 3cm
Radius: 4cm
Answer by
greenestamps(13200)
(
Show Source
):
You can
put this solution on YOUR website!
A pyramid does not have a radius....
Help find lateral area surface area and volume of
cone.
height 3cm and radius 4cm means slant height 5cm (by Pythagorean Theorem).
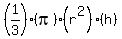
Volume =
Lateral surface area =
where l is the slant height.