SOLUTION: Three circles of radius 1 unit fit inside a square such that the two outer circles touch the middle circle and the sides of the square, as shown. Given the centres of the circle l

Algebra ->  Surface-area -> SOLUTION: Three circles of radius 1 unit fit inside a square such that the two outer circles touch the middle circle and the sides of the square, as shown. Given the centres of the circle l      Log On


   



Question 1026227: Three circles of radius 1 unit fit inside a square such that the two outer circles touch the middle
circle and the sides of the square, as shown. Given the centres of the circle lie on the diagonal
of the square, find the exact area of the square.
http://imgur.com/2wZdTkq
Please incldue all working out. Thanks

Answer by josgarithmetic(39617) About Me  (Show Source):
You can put this solution on YOUR website!
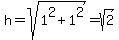
Look at either circle near one of the corners of the square. Draw a radius which intersects a side of the square; which is also tangent to the circle. This tangency point, and the center point of the circle, and the corner of the square, form a right isosceles triangle having two sides of 1 unit. The hypotenuse can be found:

h for this hypotenuse, h=sqrt%281%5E2%2B1%5E2%29=sqrt%282%29.

You can find the length of the diagonal of the square. The diagonal contains SIX of the radii lengths (of any of the circles); but also understand the distance from corner to a nearest center of a circle...
and revise the sum of lengths which compose the diagonal of the outer square.

sqrt%282%29%2Br%2B2r%2Br%2Bsqrt%282%29-----the length of the diagonal of the square, which simplified is...
highlight_green%284r%2B2sqrt%282%29%29.

If this solution is stopped here, can you finish answering the question?