|
This Lesson (FURTHER - Radicals/Surds) was created by by longjonsilver(2297)  : View Source, ShowAbout longjonsilver: I have a new job in September, teaching
Introduction
After reading the "BASICS" Lesson on Radicals/Surds, there are not many more examples to consider.
However, one type of expression worth looking at is a binomial in the denominator of a fraction.
Theory
The solution of this type of question is to be aware of:
(x+a)(x-a) being the same as --> "difference of 2 squares".
Basically, this has 2 terms that square, which is ideal for us, since we are trying to remove (rationalise) the radical/surd.
The best explanation of these, is with an example.
Examples
Q Simplify 
A We multiply the expression by "1", to keep it unchanged, but we write "1" as the second fraction in the below expression... please be happy that anything divided by itself is 1:

now, because of my choice of the second fraction, the denominator is now "correct" to be factorised using the difference of 2 squares, as:



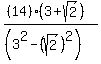
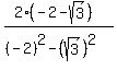
Q Simplify 
A





or written as
This lesson has been accessed 8230 times.
|
| |