SOLUTION: Can you please solve: The square root of a half plus the square root of a quarter plus the square root of an eighth

Algebra ->  Square-cubic-other-roots -> SOLUTION: Can you please solve: The square root of a half plus the square root of a quarter plus the square root of an eighth      Log On


   



Question 990829: Can you please solve:
The square root of a half plus the square root of a quarter plus the square root of an eighth

Answer by Alan3354(69443) About Me  (Show Source):
You can put this solution on YOUR website!
sqrt%281%2F2%29+%2B+sqrt%281%2F4%29+%2B+sqrt%281%2F8%29
= sqrt%281%2F2%29+%2B+1%2F2+%2B+sqrt%281%2F8%29
= sqrt%282%2F4%29+%2B+1%2F2+%2B+sqrt%282%2F16%29
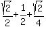
= sqrt%282%29%2F2+%2B+1%2F2+%2B+sqrt%282%29%2F4
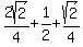
= 2sqrt%282%29%2F4+%2B+1%2F2+%2B+sqrt%282%29%2F4
= 3sqrt%282%29%2F4+%2B+1%2F2
====================
Not solved, just combined and "simplified."