|
Question 97658: I need help completing the square for this problem.
16x^2-16x-5=0
So far I have tried this:
16x^2-16x+[1/2(-16)]=5+[1/2(-16)]
16x^2-16x+64=5+64
16(x^2-x+4)=69
16(????????????
I'm lost from this point on. I tried factoring but it's not working for me. I hope you can help me.
Thank you very much
Solve a Quadratic Equation by completing the square.
I was not sure what would be an acceptable answer for your teacher so I worked it all the way out. This problem is a Quadratic Equation. Here is your solution.
Found 2 solutions by Msgenes, MathTherapy: Answer by Msgenes(10) (Show Source):
You can put this solution on YOUR website! Solve a Quadratic Equation by completing the square.
I was not sure what would be an acceptable answer for your teacher so I worked it all the way out. This problem is a Quadratic Equation. Here is your solution.
16x^2-16x-5=0
(16x^2-16-5)/16=0
x^2-1x-5/16=0
x^2-1x-5/16+5/16=0+5/16
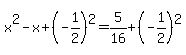
x^2-1x=5/16
( -1/2)^2=1/4
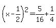
x^2-1x+1/4=5/16+1/4(4/4)
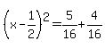
(x-1/2)^2=5/16+4/16
(x-1/2)^2=9/16
Sqrt(x-1/2)^2 )= Sqrt(9/16)
x-1/2=3/4
x=1/2±3/4(If this is not your final solution according to your teacher, finished solution continues below)
x-1/2+1/2=3/4+1/2(2/2)
x=3/4+2/4
x=5/4
x-1/2=-3/4
x-1/2+1/2=1/2(2/2)-3/4
x=2/4-3/4
x=-1/4
Good Luck. :)
Answer by MathTherapy(10839) (Show Source):
You can put this solution on YOUR website!
I need help completing the square for this problem.
16x^2-16x-5=0
So far I have tried this:
16x^2-16x+[1/2(-16)]=5+[1/2(-16)]
16x^2-16x+64=5+64
16(x^2-x+4)=69
16(????????????
I'm lost from this point on. I tried factoring but it's not working for me. I hope you can help me.
Thank you very much
Solve a Quadratic Equation by completing the square.
I was not sure what would be an acceptable answer for your teacher so I worked it all the way out.
This problem is a Quadratic Equation. Here is your solution.
***********************************************************
You would be lost, because you should've FIRST divided through, by 16, in order to make the coefficient on , 1.
This quadratic can be solved by FACTORING. Often-times, this author will solve, by FACTORING, if possible,
before or after completing the square, and then match the solutions. You can do the same, if you wish!
----- Dividing each side by 16
----- Adding to both sides
---- Squaring of b, then adding result to both sides
---- Taking square root on both sides

|
|
|
| |