SOLUTION: x^1/2 + y = 7 x + y^1/2 = 11 Find the value of x and y

Algebra ->  Square-cubic-other-roots -> SOLUTION: x^1/2 + y = 7 x + y^1/2 = 11 Find the value of x and y       Log On


   



Question 973174: x^1/2 + y = 7
x + y^1/2 = 11
Find the value of x and y

Answer by MathTherapy(10839) About Me  (Show Source):
You can put this solution on YOUR website!
x^1/2 + y = 7
x + y^1/2 = 11
Find the value of x and y
*************************
matrix%282%2C1%2C+%22+%22%2C+x%5E%281%2F2%29+%2B+y+=+7%29____sqrt%28x%29+%2B+y+=+7 
                                   sqrt%28x%29+=+7++-++y
                              %28sqrt%28x%29%29%5E2+=+%287++-++y%29%5E2
                                     x+=+49++-++14y+%2B+y%5E2 ----- eq (i)

                              x+%2B+sqrt%28y%29+=+11
                                     x+=+11+-+sqrt%28y%29 ----- eq (ii)

We then get: 49++-++14y+%2B+y%5E2+=+11+-+sqrt%28y%29
         y%5E2+%2B+sqrt%28y%29+-+14y+%2B+49+-+11+=+0
                y%5E2+%2B+sqrt%28y%29+-+14y+%2B+38+=+0

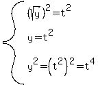
                                 Let sqrt%28y%29+=+t
              Then: system%28%28sqrt%28y%29%29%5E2+=+t%5E2%2C+y+=+t%5E2%2C+y%5E2+=+%28t%5E2%29%5E2+=+t%5E4%29
                        y%5E2+%2B+sqrt%28y%29+-+14y+%2B+38+=+0 then becomes: 
                        t%5E4+%2B+t+-+14t%5E2+%2B+38+=+0
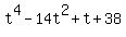
                        t%5E4+-+14t%5E2+%2B+t+%2B+38+=+0
Using the RATIONAL ROOT THEOREM, we find that a root of the above equation is: t = 2, which makes its
FACTOR, t - 2. When divided by t - 2, using LONG DIVISION of POLYNOMIALS, or using SYNTHETIC DIVISION,
the other factor of t%5E4++-++14t%5E2+%2B+t+%2B+38, besides t - 2, is: t%5E3+%2B+2t%5E2+-+10t+-+19.
From this, we find another REAL solution being approximately 3.13131. The other 2 are negative (< 0) and
so, MUST be REJECTED/IGNORED, since sqrt%28y%29+=+t CANNOT have a negative (< 0) value for t. 

I will continue with the REAL INTEGER value, 2.
     sqrt%28y%29+=+t+=+2 ---- Back-substituting t = 2 for sqrt%28y%29
%28sqrt%28y%29%29%5E2+=+y+=+t%5E2+=+2%5E2+=+4

       x+=+11+-+sqrt%28y%29 ----- eq (ii)
        x = 11 - 2 ----- Substituting 2 for sqrt%28y%29 in eq (ii)
        x = 9

So, the ONLY INTEGER-solution set is: (x, y) = (9, 4). I'll let you substitute the other REAL VALUE, 3.13131
for t, to determine the other SOLUTION-SET.