SOLUTION: The cube root of (12 times the square root of 12) {{{root(3,12sqrt(12))}}}

Algebra ->  Square-cubic-other-roots -> SOLUTION: The cube root of (12 times the square root of 12) {{{root(3,12sqrt(12))}}}      Log On


   



Question 970671: The cube root of (12 times the square root of 12)
root%283%2C12sqrt%2812%29%29

Found 3 solutions by checkley77, Edwin McCravy, MathTherapy:
Answer by checkley77(12844) About Me  (Show Source):
You can put this solution on YOUR website!
CUBE RT(12*SQRT12)
CUBE RT(12*3.464)
CUBE RT(41.57)=3.464 ANS.

Answer by Edwin McCravy(20056) About Me  (Show Source):
You can put this solution on YOUR website!
The other tutor only gave you an approximate decimal solution using
a calculator.  That's not what your teacher wants.  Your teacher wants
an exact answer.  Here's the way to do it using fraction exponents:

root%283%2C12sqrt%2812%29%29

Write both 12's as 22·3

root%283%2C2%5E2%2A3sqrt%282%5E2%2A3%29%29  

Write the square root as the 1%2F2 power
and the cube root as the 1%2F3 power:

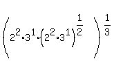
%282%5E2%2A3%2A%282%5E2%2A3%29%5E%281%2F2%29%29%5E%281%2F3%29

Make everything have an exponent by giving a 1 exponent
to whatever doesn't have an exponent showing:

%282%5E2%2A3%5E1%2A%282%5E2%2A3%5E1%29%5E%281%2F2%29%29%5E%281%2F3%29

Remove the inner parentheses by multiplying exponents:



%28++2%5E2%2A3%5E1%2A2%5E1+%2A3%5E%281%2F2%29+++%29%5E%281%2F3%29

Add the exponents of 2 and the exponents of 3

%28++2%5E3%2A3%5E%281%261%2F2%29+++%29%5E%281%2F3%29

Change mixed number exponent 1%261%2F2 to 3%2F2

%28++2%5E3%2A3%5E%283%2F2%29+++%29%5E%281%2F3%29

Remove the remaining parentheses by multiplying exponents:





matrix%282%2C1%2C%22%22%2C%0D%0A2%5E1%2A3%5E%281%2F2%29%29

Erase the 1 exponent and change the 1%2F2 exponent to a square root

2%2Asqrt%283%29

Edwin


Answer by MathTherapy(10552) About Me  (Show Source):
You can put this solution on YOUR website!
The cube root of (12 times the square root of 12)
root%283%2C12sqrt%2812%29%29
root+%283%2C+12%2812%5E%281%2F2%29%29%29%29_______highlight%28highlight%28root+%283%2C+12%5E%281%261%2F2%29%29%29%29________highlight%28highlight%28root+%283%2C+12%5E%283%2F2%29%29%29%29
%2812%5E%283%2F2%29%29%5E%281%2F3%29________highlight%28highlight%28highlight%2812%5E%28%283%2F2%29%2A%281%2F3%29%29%29%29%29 ------- Multiplying exponents
_______highlight%28highlight%2812%5E%281%2F2%29%29%29 ------> sqrt%2812%29 ------> highlight_green%282sqrt%283%29%29