SOLUTION: ((x-2)^-1) -(x-1)^-1 Please help me simply this fully
Algebra
->
Square-cubic-other-roots
-> SOLUTION: ((x-2)^-1) -(x-1)^-1 Please help me simply this fully
Log On
Algebra: Square root, cubic root, N-th root
Section
Solvers
Solvers
Lessons
Lessons
Answers archive
Answers
Click here to see ALL problems on Square-cubic-other-roots
Question 963041
:
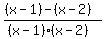
((x-2)^-1) -(x-1)^-1
Please help me simply this fully
Answer by
MathLover1(20850)
(
Show Source
):
You can
put this solution on YOUR website!