SOLUTION: how to solve= 1/cube root 4+ cube root 2 +1 i know the ans is cube root 2 -1 but i dont know how to solve it

Algebra ->  Square-cubic-other-roots -> SOLUTION: how to solve= 1/cube root 4+ cube root 2 +1 i know the ans is cube root 2 -1 but i dont know how to solve it       Log On


   



Question 957853: how to solve= 1/cube root 4+ cube root 2 +1

i know the ans is cube root 2 -1 but i dont know how to solve it

Found 2 solutions by Alan3354, jsmallt9:
Answer by Alan3354(69443) About Me  (Show Source):
You can put this solution on YOUR website!
What is the denominator?
----
Parentheses are free.

Answer by jsmallt9(3758) About Me  (Show Source):
You can put this solution on YOUR website!
First of all, please put multiple-term numerators and denominators in parentheses. What you posted meant:
1%2Froot%283%2C+4%29+%2B+root%283%2C+2%29+%2B+1
But I'm quite sure you meant:
1%2F%28root%283%2C+4%29+%2B+root%283%2C+2%29+%2B+1%29
which should be posted as:
1/(cube root 4+ cube root 2 +1)
Tutors are more likely to respond if problems are posted clearly.

Clearing cube roots from a multiple-term denominator involves use of one or both of the following patterns:
  • a%5E3%2Bb%5E3+=+%28a%2Bb%29%28a%5E2-ab%2Bb%5E2%29
  • a%5E3-b%5E3+=+%28a-b%29%28a%5E2%2Bab%2Bb%5E2%29
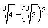
A relatively fast way to simplify this requires that we recognizing that root%283%2C+4%29+=+%28root%283%2C+2%29%29%5E2. Substituting this into our expression we get:
1%2F%28%28root%283%2C+2%29%29%5E2+%2B+root%283%2C+2%29+%2B+1%29
Now we need to recognize that this denominator matches the pattern of the second factor of a%5E3-b%5E3+=+%28a-b%29%28a%5E2%2Bab%2Bb%5E2%29 with an "a" of root%283%2C+2%29 and a "b" of 1. The pattern shows us that if we multiply that factor by (a-b) then we get a%5E3-b%5E3. With all terms being perfect cubes, this will eliminate the cube roots.

So we multiply the numerator and denominator by (a-b) with an "a" of root%283%2C+2%29 and a "b" of 1:

In the denominator, the pattern tells us what we get. In the numerator we just use the Distributive Property:
%28root%283%2C+2%29+-+1%29%2F%28%28root%283%2C+2%29%29%5E3+-+%281%29%5E3%29%29
Simplifying...
%28root%283%2C+2%29+-+1%29%2F%282-1%29
%28root%283%2C+2%29+-+1%29%2F1
root%283%2C+2%29+-+1