SOLUTION: {{{ A=pr^2+pr*sqrt( r^2 +h^2 ) }}} Solve for h. Please show steps

Algebra ->  Square-cubic-other-roots -> SOLUTION: {{{ A=pr^2+pr*sqrt( r^2 +h^2 ) }}} Solve for h. Please show steps       Log On


   



Question 947689: +A=pr%5E2%2Bpr%2Asqrt%28+r%5E2+%2Bh%5E2+%29+
Solve for h.
Please show steps

Found 2 solutions by Alan3354, MathLover1:
Answer by Alan3354(69443) About Me  (Show Source):
You can put this solution on YOUR website!
+A=pr%5E2%2Bpr%2Asqrt%28r%5E2+%2Bh%5E2%29+
Solve for h.
=================
A+-+pr%5E2+=+pr%2Asqrt%28r%5E2+%2Bh%5E2%29
%28A+-+pr%5E2%29%5E2+=+p%5E2r%5E2%28r%5E2+%2B+h%5E2%29
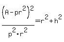
%28A+-+pr%5E2%29%5E2%2Fp%5E2r%5E2+=+r%5E2+%2B+h%5E2
%28A+-+pr%5E2%29%5E2%2Fp%5E2r%5E2+-+r%5E2+=+h%5E2
h+=+sqrt%28%28A+-+pr%5E2%29%5E2%2Fp%5E2r%5E2+-+r%5E2%29

Answer by MathLover1(20850) About Me  (Show Source):