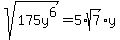
SOLUTION: Simplify by factoring the Square root of 175y to the 6 power
Algebra
->
Square-cubic-other-roots
-> SOLUTION: Simplify by factoring the Square root of 175y to the 6 power
Log On
Algebra: Square root, cubic root, N-th root
Section
Solvers
Solvers
Lessons
Lessons
Answers archive
Answers
Click here to see ALL problems on Square-cubic-other-roots
Question 883780
:
Simplify by factoring the Square root of 175y to the 6 power
Answer by
Fombitz(32388)
(
Show Source
):
You can
put this solution on YOUR website!