SOLUTION: I have a problem that state: Solve by completing the square: 6x=3X^2-2. I know that I need factor out the sides but what then?

Algebra ->  Square-cubic-other-roots -> SOLUTION: I have a problem that state: Solve by completing the square: 6x=3X^2-2. I know that I need factor out the sides but what then?      Log On


   



Question 83494: I have a problem that state: Solve by completing the square: 6x=3X^2-2. I know that I need factor out the sides but what then?
Answer by Earlsdon(6294) About Me  (Show Source):
You can put this solution on YOUR website!
Start by putting your equation into the "standard form" for quadratic equations: ax%5E2%2Bbx%2Bc+=+0
6x+=+3x%5E2-2 Subtract 6x from both sides.
3x%5E2-6x-2+=+0 Now you need to make the coefficient of the x%5E2 term equal to 1. You do this here by dividing through by 3.
3x%5E2%2F3-6x%2F3-2%2F3+=+0%2F3 Simplify this.
x%5E2-2x-2%2F3+=+0 Next, you'll add 2%2F3 to both sides.
x%5E2-2x+=+2%2F3 Now you'll complete the square by adding the square of half the x-coefficient %28-2%2F2%29%5E2+=+1 to both sides.
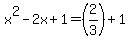
x%5E2-2x%2B1+=+%282%2F3%29%2B1 Simplify this.
x%5E2-2x%2B1+=+5%2F3 Now factor the left side.
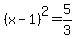
%28x-1%29%28x-1%29+=+5%2F3 Simplify this.
%28x-1%29%5E2+=+5%2F3 Notice that you now have a "square" on the left side. Take the square root of both sides.
x-1+=+sqrt%285%2F3%29 or x-1+=+-sqrt%285%2F3%29 Add 1 to both sides of each equation.
x+=+1%2Bsqrt%285%2F3%29 or x+=+1-sqrt%285%2F3%29 These are the two solutions.