SOLUTION: (q^2/(q^2-16))- 2/q-4 = 3/q+4

Algebra ->  Square-cubic-other-roots -> SOLUTION: (q^2/(q^2-16))- 2/q-4 = 3/q+4      Log On


   



Question 80158: (q^2/(q^2-16))- 2/q-4 = 3/q+4
Answer by tutor_paul(519) About Me  (Show Source):
You can put this solution on YOUR website!
q%5E2%2F%28q%5E2-16%29-2%2F%28q-4%29+=+3%2F%28q%2B4%29
First, factor that denominator to make it easier to see what the upcoming LCD needs to be for combining this mess:
q%5E2%2F%28%28q%2B4%29%28q-4%29%29-2%2F%28q-4%29+=+3%2F%28q%2B4%29
Get all like terms on one side of the equation:
q%5E2%2F%28%28q%2B4%29%28q-4%29%29-2%2F%28q-4%29-3%2F%28q%2B4%29=0
Now, you can see that the LCD is (q+4)(q-4). You can rewrite the equation in terms of this LCD:

Now, combine all like terms. You should get:
%28q%5E2-2q-8-3q%2B12%29%2F%28%28q%2B4%29%28q-4%29%29=0
Simplifying...
%28q%5E2-5q%2B4%29%2F%28%28q%2B4%29%28q-4%29%29=0
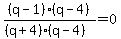
Now, factor that numeraotr so you can have a cancelling opportunity:
%28q-1%29%28q-4%29%2F%28%28q%2B4%29%28q-4%29%29=0
Aha, you can cancel the (q-4) terms.
%28%28q-1%29%2F%28q%2B4%29%29=0
highlight%28q=1%29