SOLUTION: We are studying nth roots and rational exponents and I need help! Problem: 4/square root of 176 + 4/square root of 11= Problem: How do you type in the square root of problems u

Algebra ->  Square-cubic-other-roots -> SOLUTION: We are studying nth roots and rational exponents and I need help! Problem: 4/square root of 176 + 4/square root of 11= Problem: How do you type in the square root of problems u      Log On


   



Question 77785: We are studying nth roots and rational exponents and I need help!
Problem:
4/square root of 176 + 4/square root of 11=
Problem: How do you type in the square root of problems using symbols?

Answer by Edwin McCravy(20060) About Me  (Show Source):
You can put this solution on YOUR website!

We are studying nth roots and rational exponents 
and I need help! 

Problem:

4/square root of 176 + 4/square root of 11=

4%2Fsqrt%28176%29+%2B+4%2Fsqrt%2811%29

We begin by breaking 176 down into prime factors:

176 = 2x88 = 2x2x44 = 2x2x4x11 = 2x2x2x2x11

11 is already a prime number

So we have

4%2Fsqrt%282%2A2%2A2%2A2%2A11%29+%2B+4%2Fsqrt%2811%29

Group the like factors into pairs:

4%2Fsqrt%28%282%2A2%29%2A%282%2A2%29%2A11%29+%2B+4%2Fsqrt%2811%29

Write each pair as a square (of 2):

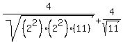
4%2Fsqrt%28%282%5E2%29%2A%282%5E2%29%2A%2811%29%29+%2B+4%2Fsqrt%2811%29 

Distribute the Ö over its factors:

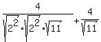
4%2F%28sqrt%282%5E2%29%2Asqrt%282%5E2%29%2Asqrt%2811%29%29+%2B+4%2Fsqrt%2811%29

Now the square root of the square of a number is
just the number, so the square root of 2 squared is
just 2.

4%2F%282%2A2%2Asqrt%2811%29%29+%2B+4%2Fsqrt%2811%29

Now the 2%2A2 on the bottom is just 4

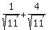
4%2F%284%2Asqrt%2811%29%29+%2B+4%2Fsqrt%2811%29

Now we can cancel the 4's:

1%2Fsqrt%2811%29+%2B+4%2Fsqrt%2811%29

Since the two fractions have a common
denominator, then we can just add the
two numerators and place it over the common
denominator:

5%2Fsqrt%2811%29

If your teacher wants you to rationalize
the denominator and get the answer

%285sqrt%2811%29%29%2F11

then post again asking how to rationalize
the denominator.

Problem: How do you type in the square root of problems 
using symbols?

Take the example sqrt%28176%29

I'll have to tell you in steps, because if I type it on 
here like you are to type it in you will just show up as
sqrt%28176%29

1. Type three braces in a row { { { but don't skip a space
   between them as I did here. I skipped spaces between
   them here to keep the program from thinking I am
   starting a problem and giving an error message.
   These are open braces, not open parentheses. 
   The shifted key immediately to the right of the P key 
   on your keyboard gives open braces.
2. On the same line immediately after that type sqrt(176)
   That's parentheses, (shifted 9 and 0), not braces.
3. On the same line immediately after that type }}}
   Those are close braces, the shifted key just after the
   key which when shifted gives the open braces.
4. When you post your problem it will appear this way:sqrt%28176%29
 
Edwin