SOLUTION: what is the square root of 841 i am stuck i am not getting the answer i am getting 42 an if you got the answer pls tell me th method

Algebra ->  Square-cubic-other-roots -> SOLUTION: what is the square root of 841 i am stuck i am not getting the answer i am getting 42 an if you got the answer pls tell me th method       Log On


   



Question 750116: what is the square root of 841 i am stuck i am not getting the answer i am getting
42 an if you got the answer pls tell me th method

Answer by KMST(5328) About Me  (Show Source):
You can put this solution on YOUR website!
841 is close to and a little less than 900=30%5E2
%2830-x%29%5E2=900-60x%2Bx%5E2
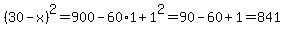
x=1 makes %2830-x%29%5E2=900-60%2A1%2B1%5E2=90-60%2B1=841
so 841=%2830-1%29%5E2=29%5E2 and sqrt%28841%29=29

NOTE:
For other numbers, you could get at the answer by doing a prime factorization.