SOLUTION: how do I rationalize the denominator for one over the cube root of x minus the square root of y?

Algebra ->  Square-cubic-other-roots -> SOLUTION: how do I rationalize the denominator for one over the cube root of x minus the square root of y?      Log On


   



Question 719521: how do I rationalize the denominator for one over the cube root of x minus the square root of y?
Answer by jsmallt9(3758) About Me  (Show Source):
You can put this solution on YOUR website!
I hope you posted this correctly because, with different kinds of roots in the denominator, this is going to get ugly.

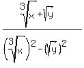
1%2F%28root%283%2C+x%29+-+sqrt%28y%29%29
With the two kinds of roots, we cannot rationalize them both at the same time. We will have to rationalize one root at a time. We'll do the square root first.

The pattern %28a%2Bb%29%28a-b%29+=+a%5E2-b%5E2 shows us how to take a two-term expression, an a+b or an a-b, and turn it into an expression of perfect squares. Our denominator, with the "-" between the terms, will play the role of (a-b) with the "a" being root%283%2C+x%29 and the "b" being sqrt%28y%29. To turn this into an expression of perfect squares we need to multiply by (a+b):

The pattern shows us how the denominator works out:

which simplifies to:
%28root%283%2C+x%29+%2B+sqrt%28y%29%29%2F%28root%283%2C+x%5E2%29+-+y%29

Now we'll rationalize the cube root. For this we will use another pattern:
%28a-b%29%28a%5E2%2Bab%2Bb%5E2%29+=+a%5E3-b%5E3
This pattern shows us how to take an (a-b) and turn it into an expression of perfect cubes. Again our denominator plays the role of (a-b) with the "a" being root%283%2C+x%5E2%29 and the "b" being "y". To turn this denominator into an expression of perfect cubes by multiplying it by a%5E2%2Bab%2Bb%5E2:

Doing some initial simplification of the second fraction we get:

Now we'll multiply the fractions. The pattern shows us how the denominator works out. To multiply the numerators we just multiply each term of one numerator times each term of the other and then add like terms, if any.

Simplifying...