SOLUTION: how would you solve the following equations? Show different ways to solve each. 1. cuberoot of x-5=squareroot of 3 2.3 over squareroot of x-3=4 over squareroot of 2x+3 3. 4throo

Algebra ->  Square-cubic-other-roots -> SOLUTION: how would you solve the following equations? Show different ways to solve each. 1. cuberoot of x-5=squareroot of 3 2.3 over squareroot of x-3=4 over squareroot of 2x+3 3. 4throo      Log On


   



Question 697653: how would you solve the following equations? Show different ways to solve each.
1. cuberoot of x-5=squareroot of 3
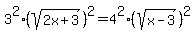
2.3 over squareroot of x-3=4 over squareroot of 2x+3
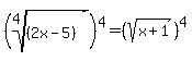
3. 4throot 2x-5=squareroot of x+1

Answer by MathLover1(20850) About Me  (Show Source):
You can put this solution on YOUR website!
1.
%28x-5%29%5E%281%2F3%29=+3%5E%281%2F2%29....both side raise to power of 3
%28root%283%2C%28x-5%29%29%29%5E3=+%28sqrt%283%29%29%5E3
x-5=+%28sqrt%283%29%29%5E2%2Asqrt%283%29
x-5=+3%2Asqrt%283%29
x=+3%2A1.73%2B5
x=+5.19%2B5
x=+10.19


2.
3%2Fsqrt%28x-3%29%29=4%2Fsqrt%282x%2B3%29......cross multiply
3sqrt%282x%2B3%29=4sqrt%28x-3%29...both side raise to power of 2
3%5E2%28sqrt%282x%2B3%29%29%5E2=4%5E2%28sqrt%28x-3%29%29%5E2
9%282x%2B3%29=16%28x-3%29
18x%2B27=16x-48
18x-16x=-48-27
2x=-75
x=-75%2F2
x=-37.5

3.
root%284%2C%282x-5%29%29=sqrt%28x%2B1%29....both side raise to power of 4
%28root%284%2C%282x-5%29%29%29%5E4=%28sqrt%28x%2B1%29%29%5E4
2x-5=%28x%2B1%29%5E2
2x-5=x%5E2%2B2x%2B1
-5-1=x%5E2%2B2x-2x
-6=x%5E2
sqrt%28-6%29=x
x=2.45i or x=-2.45i