Question 683984: how can u solve this
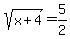
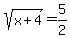
1.) 2 (sqrt of x+4) = 5
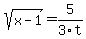
2.) 3t (sqrt of x-1) = 5 Found 2 solutions by mananth, ReadingBoosters:Answer by mananth(16946) (Show Source):
You can put this solution on YOUR website! 1. ==> divide both sides by 2 ==> square both sides to "undo" the square root
x+4 = ==> subtract 4 from both sides
x =
...
2. if you are solving for x ==> divide both sides by 3t ==> square both sides
x - 1 =
x =
.....................
Have more questions?
Email: HomeworkHelpers@readingboosters.com
Delighted to help.
-Reading Boosters
Website: www.MyHomeworkAnswers.com
Wanting for others what we want for ourselves.