SOLUTION: I have a math problem. I cant figure out how to simplify a square root and make it into an imaginary number. Can you please help me?

Algebra ->  Square-cubic-other-roots -> SOLUTION: I have a math problem. I cant figure out how to simplify a square root and make it into an imaginary number. Can you please help me?      Log On


   



Question 590662: I have a math problem. I cant figure out how to simplify a square root and make it into an imaginary number. Can you please help me?
Answer by josmiceli(19441) About Me  (Show Source):
You can put this solution on YOUR website!
I think what you mean is if you have
something like +sqrt%28+-7+%29+
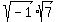
Factor the +-7+
+sqrt%28+-1%2A7+%29+
+sqrt%28-1%29%2Asqrt%287%29+
+sqrt%287%29%2Ai+