SOLUTION: I am a bit confused with these problems. Can someone help me?
Solve each radical expression:
a. √ (2X – 1) = X – 2 This the square root of what is in the paren
Algebra ->
Square-cubic-other-roots
-> SOLUTION: I am a bit confused with these problems. Can someone help me?
Solve each radical expression:
a. √ (2X – 1) = X – 2 This the square root of what is in the paren
Log On
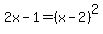
Question 49903: I am a bit confused with these problems. Can someone help me?
Solve each radical expression:
a. √ (2X – 1) = X – 2 This the square root of what is in the parenthesis.
You can put this solution on YOUR website! a.)
x = 5 and x = 1
Check:
sqrt(2x - 1) = x - 2
sqrt(10 - 1) = 5 - 2
sqrt(9) = 3 Correct
Check:
sqrt(2x - 1) = x - 2
sqrt(1) = -1 Not Correct
Only Answer: five
b.)
Check:
sqrt(3x) + 5 = 11
sqrt(36) = 6 Correct