SOLUTION: Please solve the equation and be sure to check your solution. sqrt of 4x+1+3=0
Algebra
->
Square-cubic-other-roots
-> SOLUTION: Please solve the equation and be sure to check your solution. sqrt of 4x+1+3=0
Log On
Algebra: Square root, cubic root, N-th root
Section
Solvers
Solvers
Lessons
Lessons
Answers archive
Answers
Click here to see ALL problems on Square-cubic-other-roots
Question 49776
:
Please solve the equation and be sure to check your solution.
sqrt of 4x+1+3=0
Answer by
tutorcecilia(2152)
(
Show Source
):
You can
put this solution on YOUR website!
.
.
.
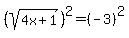
.
4x+1=9
4x+1-9=9-9
4x+1-9=0
4x-8=0
4x-8+8=0+8
4x/4=8/4
x=2
.
check by plugging x=2 back into the original equation. Remember that the square root is "plus" or "minus" a number, so try both.