SOLUTION: If 16^n=64, then what is the value of 4^-n?

Algebra ->  Square-cubic-other-roots -> SOLUTION: If 16^n=64, then what is the value of 4^-n?      Log On


   



Question 427713: If 16^n=64, then what is the value of 4^-n?
Answer by Gogonati(855) About Me  (Show Source):
You can put this solution on YOUR website!
Solution:16%5En=64 we rewrite this equation:
4%5E%282n%29=4%5E3, since bases are equal, to hold the equality needed: 2n=3
=>n=3/2.
We plug n=3/2 to 4%5En and find the value of this expression:
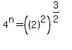
4%5En=%28%282%29%5E2%29%5E%283%2F2%29=
= 2%5E3=8