SOLUTION: Simplify as much as possible {{{ (v^2) sqrt (8vu^2) + (3u) sqrt (50v^5) }}}

Algebra ->  Square-cubic-other-roots -> SOLUTION: Simplify as much as possible {{{ (v^2) sqrt (8vu^2) + (3u) sqrt (50v^5) }}}      Log On


   



Question 392418: Simplify as much as possible
+%28v%5E2%29+sqrt+%288vu%5E2%29+%2B+%283u%29+sqrt+%2850v%5E5%29+

Answer by jsmallt9(3758) About Me  (Show Source):
You can put this solution on YOUR website!
+%28v%5E2%29+sqrt+%288vu%5E2%29+%2B+%283u%29+sqrt+%2850v%5E5%29+
As they are written, these are not like terms so we cannot add them. But both square roots have at least one perfect square factor so we can simplify them. We start by factoring the radicands (the expressions within the square roots) into as many perfect square factors as possible:
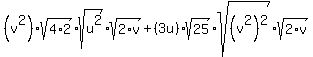
+%28v%5E2%29+sqrt%284%2A2%2Av%2Au%5E2%29+%2B+%283u%29sqrt%2825%2A2%2A%28v%5E2%29%5E2%2Av%29+
At this point I like to use the Commutative property on the radicands to put the perfect square factors in front. (You'll see why shortly.)
+%28v%5E2%29+sqrt%284%2Au%5E2%2A2%2Av%29+%2B+%283u%29sqrt%2825%2A%28v%5E2%29%5E2%2A2%2Av%29+
Next we use a property of radicals, root%28a%2C+p%2Aq%29+=+root%28a%2C+p%29%2Aroot%28a%2C+q%29, to put all the perfect square factors into their own square roots. (The factors that are not perfect squares all go into a single square root.)

All the square roots of perfect squares will simplify:
+%28v%5E2%29%2A2%2Aabs%28u%29%2Asqrt%282%2Av%29+%2B+%283u%29%2A5%2Av%5E2%2Asqrt%282%2Av%29+

Note 1: Notice the use of absolute value. For any positive number there are two square roots, a positive one and a negative one. If q is a positive number, then we refer to the positive square root of q with sqrt%28q%29 and we refer to the negative square root with -sqrt%28q%29. Your original expression referred to two positive square roots. As we simplify we should ensure that any simplified version of these square roots remains positive. Since we do not know if "u" is positive or negative we must use sqrt%28u%5E2%29+=+abs%28u%29 instead of sqrt%28u%5E2%29+=+u in order to ensure we still have a positive expression even after we have simplified. (See *** below for an additional note on this issue.)

Note 2: An absolute value is not needed for sqrt%28%28v%5E2%29%5E2%29+=+v%5E2 because v%5E2 can never be negative!

Note 3: With all the perfect square factors in front, the simplified versions of them are in front of the remaining square roots. This is where we want them and this is why I put the perfect square factors in front earlier.

Simplifying our expression we get:
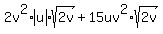
+2v%5E2%2Aabs%28u%29%2Asqrt%282v%29+%2B+15uv%5E2%2Asqrt%282v%29+
Because of the absolute value, these are not like terms so we cannot add them.

*** Many problems like this have a statement to the effect that all variables have positive (or non-negative) values. If your problem has such a statement then the absolute value is no longer necessary! And the problem can then be simplified further. Without the absolute value the expression is:
+2v%5E2%2Au%2Asqrt%282v%29+%2B+15uv%5E2%2Asqrt%282v%29+
Using the Commutative property on the first term we get:
+2uv%5E2%2Asqrt%282v%29+%2B+15uv%5E2%2Asqrt%282v%29+
Like this, we can see that these are like terms. So they can be added!
+17uv%5E2%2Asqrt%282v%29+ (just like (2q + 15q = 17q!)