SOLUTION: I know the answer to the square root of 2 to the 5th power times 12 to the 3rd power= 48 square root 24 how did my teacher get this answer. thankyou!

Algebra ->  Square-cubic-other-roots -> SOLUTION: I know the answer to the square root of 2 to the 5th power times 12 to the 3rd power= 48 square root 24 how did my teacher get this answer. thankyou!      Log On


   



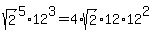
Question 351335: I know the answer to the square root of 2 to the 5th power times 12 to the 3rd power= 48 square root 24 how did my teacher get this answer. thankyou!
Answer by Fombitz(32388) About Me  (Show Source):
You can put this solution on YOUR website!
sqrt%282%29%5E5%2A12%5E3=%28sqrt%282%29%5E4%29%2Asqrt%282%29%2A12%5E3
sqrt%282%29%5E5%2A12%5E3=%284%29%2Asqrt%282%29%2A12%5E3
sqrt%282%29%5E5%2A12%5E3=4%2Asqrt%282%29%2A12%2A12%5E2
sqrt%282%29%5E5%2A12%5E3=48%2Asqrt%282%29%2A12%5E2
sqrt%282%29%5E5%2A12%5E3=48%2Asqrt%282%29%2A144
sqrt%282%29%5E5%2A12%5E3=48%2Asqrt%282%29%2Asqrt%2820736%29
sqrt%282%29%5E5%2A12%5E3=48%2Asqrt%2841472%29
I don't get the same answer.
.
.
.
Just looking at approximate values,
%28sqrt%282%29%29%5E5=5.67
12%5E3=1728
48%2Asqrt%2824%29=48%2A4.9=235