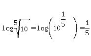
SOLUTION: log 5th SQRT (10)
Algebra
->
Square-cubic-other-roots
-> SOLUTION: log 5th SQRT (10)
Log On
Algebra: Square root, cubic root, N-th root
Section
Solvers
Solvers
Lessons
Lessons
Answers archive
Answers
Click here to see ALL problems on Square-cubic-other-roots
Question 335271
:
log 5th SQRT (10)
Answer by
Fombitz(32388)
(
Show Source
):
You can
put this solution on YOUR website!