SOLUTION: Can someone please help me solve these??? 1.(-16)^1/4 2. 25^-3/2 3. (-27x^9)1/3

Algebra ->  Square-cubic-other-roots -> SOLUTION: Can someone please help me solve these??? 1.(-16)^1/4 2. 25^-3/2 3. (-27x^9)1/3      Log On


   



Question 257399: Can someone please help me solve these???
1.(-16)^1/4
2. 25^-3/2
3. (-27x^9)1/3

Answer by jsmallt9(3758) About Me  (Show Source):
You can put this solution on YOUR website!
When working with fractional exponents you need to know about the properties of exponents:
  1. a%5Ep+%2A+a%5Eq+=+a%5E%28p%2Bq%29
  2. a%5Ep+%2F+a%5Eq+=+a%5E%28p-q%29
  3. %28a%5Ep%29%5Eq+=+a%5E%28p%2Aq%29
  4. %28ab%29%5Ep+=+a%5Ep%2Ab%5Ep
  5. a%5E%28-p%29+=+1%2Fa%5Ep
  6. a%5E%28p%2Fq%29+=+root%28q%2C+a%5Ep%29+=+%28root%28q%2C+a%29%29%5Ep

Let's see how these properties help us simplify your expressions:
1. %28-16%29%5E%281%2F4%29
By property #6
%28-16%29%5E%281%2F4%29+=+root%284%2C+%28-16%29%5E1%29+=+root%284%2C+-16%29
This expression represents the 4th root of -16. In other words the number which, when raised to the 4th power, results in -16. There are no such numbers in the set of Real numbers. Whenever we raise a Real number to the 4th power we always get a positive result. If you have never heard of Complex Numbers then we can go no further so skip to #2.

If you know about Complex Numbers, Complex Numbers in Polar form and finding roots of Complex Numbers then we can come up with an answer. Writing %28-16%29%5E%281%2F4%29 as a Complex Number in Polar form we get:
%2816%28cos%28pi%29%2Bi%2Asin%28pi%29%29%29%5E%281%2F4%29
Using deMoivre's (spelling?) Theorem this is equal to:
16%5E%281%2F4%29%28cos%28%281%2F4%29pi%29%2Bi%2Asin%28%281%2F4%29pi%29%29
Which simplifies as follows:
%282%29%28sqrt%282%29%2F2%2Bi%2Asqrt%282%29%2F2%29
sqrt%282%29%2Bi%2Asqrt%282%29%29%29 This is the primary 4th root. The other 3 are:
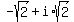
sqrt%282%29-i%2Asqrt%282%29%29%29
-sqrt%282%29%2Bi%2Asqrt%282%29%29%29
-sqrt%282%29-i%2Asqrt%282%29%29%29


2. 25%5E%28-3%2F2%29
By property #5 above this is equal to:
1%2F25%5E%283%2F2%29
By property #6 the denominator can be written as sqrt%2825%5E3%29 or %28sqrt%2825%29%29%5E3. Since the second form looks easier (after all we do know what the square root of 25 is) we will use that form:
1%2F%28sqrt%2825%29%29%5E3+=+1%2F%285%29%5E3+=+1%2F125

3. %28-27x%5E9%29%5E%281%2F3%29
Using property #4 above we get:
%28-27%29%5E%281%2F3%29%2A%28x%5E9%29%5E%281%2F3%29
Using property #6 on the first part and property #3 on the second part we get:
root%283%2C+-27%29%2Ax%5E%289%2A%281%2F3%29%29
which simplifies to:
-3x%5E3