SOLUTION: Can you please help me with this equation: 2- sqrt 7 / sqrt 3 - sqrt 2 the answer I have is (2- sqrt 7)(sqrt 3 + sqrt 2 / 5 but i don't think it is right.

Algebra ->  Square-cubic-other-roots -> SOLUTION: Can you please help me with this equation: 2- sqrt 7 / sqrt 3 - sqrt 2 the answer I have is (2- sqrt 7)(sqrt 3 + sqrt 2 / 5 but i don't think it is right.       Log On


   



Question 252005: Can you please help me with this equation: 2- sqrt 7 / sqrt 3 - sqrt 2
the answer I have is (2- sqrt 7)(sqrt 3 + sqrt 2 / 5 but i don't think it is right.

Found 2 solutions by richwmiller, MathTherapy:
Answer by richwmiller(17219) About Me  (Show Source):
You can put this solution on YOUR website!
Is it all one numerator and one denominator?
(2-sqrt(7)0 over (sqrt(3)-sqrt(2))
or is it 2 - [(sqrt(7) over sqrt(3)] and then -sqrt(2)

Answer by MathTherapy(10839) About Me  (Show Source):
You can put this solution on YOUR website!
Can you please help me with this equation: 2- sqrt 7 / sqrt 3 - sqrt 2

the answer I have is (2- sqrt 7)(sqrt 3 + sqrt 2 / 5 but i don't think it is right. 
===================================================================================
There's NOTHING to solve here. This is a SIMPLIFICATION problem!!
If %282+-+sqrt%287%29%29%2F%28sqrt%283%29+-+sqrt%282%29%29, then:
 ---- RATIONALZING the DENOMINATOR by multiplying it by its congugate, sqrt%283%29+%2B+sqrt%282%29 

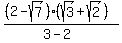
%28%282+-+sqrt%287%29%29%28sqrt%283%29+%2B+sqrt%282%29%29%29%2F%283+-+2%29
highlight%28%282+-+sqrt%287%29%29%28sqrt%283%29+%2B+sqrt%282%29%29%29%29 <=== You can FOIL this, if you wish!

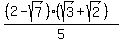
So, your answer: (2- sqrt 7)(sqrt 3 + sqrt 2 / 5, or +%28%282+-+sqrt%287%29%29%28sqrt%283%29+%2B+sqrt%282%29%29%29%2F5 is PARTIIALLY CORRECT. Seems like 
you ADDED 3 and 2 (5) in the DENOMINATOR, instead of SUBTRACTIING 2 from 3 (1)!! Good job, anyway!!