SOLUTION: Hi, could you please help me out? {{{sqrt(2x+3) - sqrt(x+1) =1}}} Thanks!!!!!

Algebra ->  Square-cubic-other-roots -> SOLUTION: Hi, could you please help me out? {{{sqrt(2x+3) - sqrt(x+1) =1}}} Thanks!!!!!      Log On


   



Question 208735: Hi, could you please help me out?
sqrt%282x%2B3%29+-+sqrt%28x%2B1%29+=1
Thanks!!!!!

Found 4 solutions by Alan3354, stanbon, jsmallt9, Edwin McCravy:
Answer by Alan3354(69443) About Me  (Show Source):
You can put this solution on YOUR website!
sqrt 2x+3 - sqrt x+1 =1
sqrt%282x%2B3%29+-+sqrt%28x%2B1%29+=+1 Is that what you meant?
If so,
sqrt%282x%2B3%29+=+sqrt%28x%2B1%29+%2B+1
Square both sides
2x%2B3+=+%28x%2B1%29+%2B+2sqrt%28x%2B1%29+%2B+1
x%2B1+=+2sqrt%28x%2B1%29
Square again
x%5E2+%2B+2x+%2B+1+=+4x%2B4
x%5E2+-2x+-+3+=+0
(x-3)*(x+1) = 0
x = 3
x = -1



Answer by stanbon(75887) About Me  (Show Source):
You can put this solution on YOUR website!
sqrt(2x+3) - sqrt(x+1) =1
------------------------
Square both sides to get:
(2x+3) - 2sqrt[(2x+3)(x+1)] + (x+1) = 1
---
Isolate the radical term:
[2sqrt[2x^2+5x+3] = 3x+4-1
--------------------------
Square both sides:
4[2x^2+5x+3] = (3x+3)^2
8x^2 + 20x + 12 = 9x^2 + 18x + 9
---
Solve for "x":
x^2 -2x -3 = 0
---
Factor:
(x-3)(x+1) = 0
x = 3 or x = -1
-------------------------
Checking those possible answers in sqrt(2x+3) - sqrt(x+1) =1 :
x = 3
This checks out
---
X = -1
This checks out
---------------------------
Cheers,
Stan H.
===============
PS: Replies should be sent to stanbon@comcast.net
as the algebra.com feedback program is not working.

Answer by jsmallt9(3758) About Me  (Show Source):
You can put this solution on YOUR website!
To solve equations like this we need to get the "x" out of the square root(s). To eliminate the square roots we need to square each side of the equation.

You could go ahead and square both sides of the original equation but it is easier to if the two square roots are on opposite sides of the equation. So I will start by adding sqrt%28x%2B1%29 to both sides:
sqrt%282x%2B3%29+-+sqrt%28x%2B1%29+%2B+sqrt%28x%2B1%29+=+1+%2B+sqrt%28x%2B1%29
sqrt%282x%2B3%29+=+1+%2B+sqrt%28x%2B1%29
Now we'll square both sides. (Remember, whenever you square both sides of an equation you may be introducing what are called "extraneous solutions". This means that once we are finished we must check our answers to see if they actually work.)
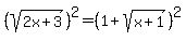
%28sqrt%282x%2B3%29%29%5E2+=+%281+%2B+sqrt%28x%2B1%29%29%5E2
Remember that exponents do not distribute. So on the right side we will need to either multiply %281+%2B+sqrt%28x%2B1%29%29%281+%2B+sqrt%28x%2B1%29%29 or use the binomial square pattern: %28a+%2B+b%29%5E2+=+a%5E2+%2B+2ab+%2B+b%5E2. What we end up with is:
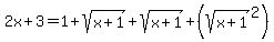
2x+%2B+3+=+1%5E2+%2B+2%281%29%2Asqrt%28x%2B1%29+%2B+%28sqrt%28x%2B2%29%29%5E2
2x+%2B+3+=+1+%2B+2%2Asqrt%28x%2B1%29+%2B+x+%2B+1
2x+%2B+3+=+2%2Asqrt%28x%2B1%29+%2B+x+%2B+2
Notice that we eliminated one but not both square roots. To get rid of the remaining square root, isolate it first. So we'll subtract (x+2) from both sides:
x+%2B+1+=+2%2Asqrt%28x%2B1%29
Now we'll square both sides:
%28x+%2B+1%29%5E2+=+%282%28sqrt%28x%2B1%29%29%29%5E2
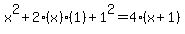
x%5E2+%2B+2%28x%29%281%29+%2B+1%5E2+=+4%28x%2B1%29
x%5E2+%2B+2x+%2B+1+=+4x+%2B+4
Our square roots are finally gone. Now we can solve this (quadratic equation). Get one side equal to zero. Subtract (4x+4) from both sides:
x%5E2+-+2x+-+3+=+0
This will factor so we'll solve it that way (instead of using the quadratic equation).
%28x+-+3%29%28x+%2B+1%29+=+0
In order for this product to be zero, one of the factors must be zero.
x+-+3%29+=+0 or %28x%2B1%29+=+0
Now we have two simple equaitons to solve. Add 3 to both sides of the first equation and subtract 1 from both sides of the second equation:
x+=+3 or x+=+-1
These are the only possible answers. But since we squared both sides (which we did twice!) we need to make sure they actually work.
Checking x = 3 in the original equation:
sqrt%282x%2B3%29+-+sqrt%28x%2B1%29+=+1
sqrt%282%283%29%2B3%29+-+sqrt%28%283%29%2B1%29+=+1
sqrt%286%2B3%29+-+sqrt%284%29+=+1
sqrt%289%29+-+sqrt%284%29+=+1
3+-+2+=+1
So x=3 works. It is a solution.
Checking x = -1 in the original equation:
sqrt%282x%2B3%29+-+sqrt%28x%2B1%29+=+1
sqrt%282%28-1%29%2B3%29+-+sqrt%28%28-1%29%2B1%29+=+1
sqrt%28-2%2B3%29+-+sqrt%280%29+=+1
sqrt%281%29+-+sqrt%280%29+=+1
1+-+0+=+1
x = -1 works, too. It is also a solution.

Answer by Edwin McCravy(20062) About Me  (Show Source):
You can put this solution on YOUR website!
sqrt%282x%2B3%29+-+sqrt%28x%2B1%29+=1

There are two radical terms. Choose
one of them to isolate, usually it's 
easier to choose the more complicated.

Isolate one term with a radical:

sqrt%282x%2B3%29+=+1+%2B+sqrt%28x%2B1%29

Put parentheses around both sides and
square them:

%28sqrt%282x%2B3%29%29%5E2+=+%281+%2B+sqrt%28x%2B1%29%29%5E2

It's easy to square the left side because it
just has one term, a square root term, so you
just take away the radical. 

However the right side is not so easy to
square because it contains TWO terms.  You 
have to put it down twice and FOIL it out:

2x%2B3+=+%281+%2B+sqrt%28x%2B1%29%29%281%2Bsqrt%28x%2B1%29%29

2x%2B3+=+1%2Bsqrt%28x%2B1%29%2Bsqrt%28x%2B1%29%2B+%28sqrt%28x%2B1%29%5E2%29

2x%2B3+=+1%2B2sqrt%28x%2B1%29%2B+%28x%2B1%29

2x%2B3+=+1%2B2sqrt%28x%2B1%29%2Bx%2B1

2x%2B3+=+2%2B2sqrt%28x%2B1%29%2Bx

Now you have one radical term instead of two

Isolate the one term with a radical. I'll
isolate it on the right since that's the
side it's already on. So as before, put parentheses 
around both sides and square them:

x%2B1+=+2sqrt%28x%2B1%29

Square both sides again:

%28x%2B1%29%5E2+=+%282sqrt%28x%2B1%29%29%5E2

%28x%2B1%29%28x%2B1%29+=+4%28x%2B1%29

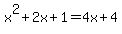
x%5E2%2Bx%2Bx%2B1+=+4x%2B4

x%5E2%2B2x%2B1=4x%2B4

THAT'S A QUADRATIC SO GET 0 on the right:

++x%5E2-2x-3=0++

Factor the left side:

%28x-3%29%28x%2B1%29=0

Set each factor = 0:

x-3=0 gives x=3

x%2B1=0 gives x=-1

But we must check because sometimes 
we get extraneous or bogus solutions.

Checking x=3 in the original equation:

sqrt%282x%2B3%29+-+sqrt%28x%2B1%29+=1

sqrt%282%2A3%2B3%29+-+sqrt%283%2B1%29+=1

sqrt%286%2B3%29+-+sqrt%284%29+=1

sqrt%289%29+-+sqrt%284%29+=1

3+-+2+=1

1=1

That checks, too, so x=3 is a valid solution.

Checking x=-1 in the original equation:

sqrt%282x%2B3%29+-+sqrt%28x%2B1%29+=1

sqrt%282%2A%28-1%29%2B3%29+-+sqrt%28-1%2B1%29+=1

sqrt%28-2%2B3%29+-+sqrt%280%29+=1

sqrt%281%29+-+sqrt%280%29+=1

1+-+0+=1

1=1

That checks so x=-1 is also a valid solution.

There are two solutions, 3 and -1.

Edwin