SOLUTION: Please help me solve by completing the square: 3x^2-2x-4=0

Algebra ->  Square-cubic-other-roots -> SOLUTION: Please help me solve by completing the square: 3x^2-2x-4=0      Log On


   



Question 198867This question is from textbook McDougal Littell Algebra 1
: Please help me solve by completing the square:
3x^2-2x-4=0
This question is from textbook McDougal Littell Algebra 1

Answer by jim_thompson5910(35256) About Me  (Show Source):
You can put this solution on YOUR website!
First, let's complete the square for 3x%5E2-2x-4


3x%5E2-2x-4 Start with the left side of the given equation.


3%28x%5E2-%282%2F3%29x-4%2F3%29 Factor out the x%5E2 coefficient 3. This step is very important: the x%5E2 coefficient must be equal to 1.


Take half of the x coefficient -2%2F3 to get -1%2F3. In other words, %281%2F2%29%28-2%2F3%29=-1%2F3.


Now square -1%2F3 to get 1%2F9. In other words, %28-1%2F3%29%5E2=%28-1%2F3%29%28-1%2F3%29=1%2F9


3%28x%5E2-%282%2F3%29x%2Bhighlight%281%2F9-1%2F9%29-4%2F3%29 Now add and subtract 1%2F9 inside the parenthesis. Make sure to place this after the "x" term. Notice how 1%2F9-1%2F9=0. So the expression is not changed.


3%28%28x%5E2-%282%2F3%29x%2B1%2F9%29-1%2F9-4%2F3%29 Group the first three terms.


3%28%28x-1%2F3%29%5E2-1%2F9-4%2F3%29 Factor x%5E2-%282%2F3%29x%2B1%2F9 to get %28x-1%2F3%29%5E2.


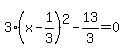
3%28%28x-1%2F3%29%5E2-13%2F9%29 Combine like terms.


3%28x-1%2F3%29%5E2%2B3%28-13%2F9%29 Distribute.


3%28x-1%2F3%29%5E2-13%2F3 Multiply.


So after completing the square, 3x%5E2-2x-4 transforms to 3%28x-1%2F3%29%5E2-13%2F3. So 3x%5E2-2x-4=3%28x-1%2F3%29%5E2-13%2F3.


So 3x%5E2-2x-4=0 is equivalent to 3%28x-1%2F3%29%5E2-13%2F3=0.

----------------------------------------------------------------------

Now let's solve 3%28x-1%2F3%29%5E2-13%2F3=0



3%28x-1%2F3%29%5E2-13%2F3=0 Start with the given equation.


3%28x-1%2F3%29%5E2=0%2B13%2F3Add 13%2F3 to both sides.


3%28x-1%2F3%29%5E2=13%2F3 Combine like terms.


%28x-1%2F3%29%5E2=%2813%2F3%29%2F%283%29 Divide both sides by 3.


%28x-1%2F3%29%5E2=13%2F9 Reduce.


x-1%2F3=%22%22%2B-sqrt%2813%2F9%29 Take the square root of both sides.


x-1%2F3=sqrt%2813%2F9%29 or x-1%2F3=-sqrt%2813%2F9%29 Break up the "plus/minus" to form two equations.


x-1%2F3=sqrt%2813%29%2F3 or x-1%2F3=-sqrt%2813%29%2F3 Simplify the square root.


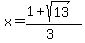
x=1%2F3%2Bsqrt%2813%29%2F3 or x=1%2F3-sqrt%2813%29%2F3 Add 1%2F3 to both sides.


x=%281%2Bsqrt%2813%29%29%2F%283%29 or x=%281-sqrt%2813%29%29%2F%283%29 Combine the fractions.


--------------------------------------


Answer:


So the solutions are x=%281%2Bsqrt%2813%29%29%2F%283%29 or x=%281-sqrt%2813%29%29%2F%283%29.