SOLUTION: Can someone please walk me thru how to solve this... Rationalize the denominator- 3-6(square root of 2)over (square root of 2) +1

Algebra ->  Square-cubic-other-roots -> SOLUTION: Can someone please walk me thru how to solve this... Rationalize the denominator- 3-6(square root of 2)over (square root of 2) +1      Log On


   



Question 172084: Can someone please walk me thru how to solve this...
Rationalize the denominator-
3-6(square root of 2)over (square root of 2) +1

Answer by solver91311(24713) About Me  (Show Source):
You can put this solution on YOUR website!
The goal when rationalizing a denominator is to get any radical signs out of the denominator of your fraction, in other words, to make your denominator a rational number.

Your problem:

%283-6sqrt%282%29%29%2F%28sqrt%282%29%2B1%29

The process is to find a way to represent the number 1 in such a way that multiplying your original fraction by this representation of 1 will eliminate the radical in the denominator:

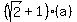
%28%283-6sqrt%282%29%29%2F%28sqrt%282%29%2B1%29%29%28a%2Fa%29 is a representation of the process just described, but we need to cleaverly concoct some value for a so that %28sqrt%282%29%2B1%29%28a%29 becomes rational.

If we just square sqrt%282%29%2B1 we still end up with a term containing a radical. (Verification of this is left as an exercise for the student).

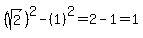
However, if you recall the factorization of the difference of two squares, namely: a%5E2-b%5E2=%28a%2Bb%29%28a-b%29, we get a clue to the value we need. If we multiply %28sqrt%282%29%2B1%29%28sqrt%282%29-1%29 we get %28sqrt%282%29%29%5E2-%281%29%5E2=2-1=1

Putting it all together:



I've already calculated your denominator, so all that is left is for you to multiply the two binomial numerators to get your answer.