SOLUTION: What is the sqrt of (x+2) - x = 0

Algebra ->  Square-cubic-other-roots -> SOLUTION: What is the sqrt of (x+2) - x = 0       Log On


   



Question 158211: What is the sqrt of (x+2) - x = 0

Answer by jim_thompson5910(35256) About Me  (Show Source):
You can put this solution on YOUR website!
sqrt%28x%2B2%29+-+x+=+0 Start with the given equation.


sqrt%28x%2B2%29=x Add "x" to both sides.


x%2B2=x%5E2 Square both sides.


-x%5E2%2Bx%2B2=0 Subtract x%5E2 from both sides.


Notice we have a quadratic equation in the form of ax%5E2%2Bbx%2Bc where a=-1, b=1, and c=2


Let's use the quadratic formula to solve for x


x+=+%28-b+%2B-+sqrt%28+b%5E2-4ac+%29%29%2F%282a%29 Start with the quadratic formula


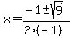
x+=+%28-%281%29+%2B-+sqrt%28+%281%29%5E2-4%28-1%29%282%29+%29%29%2F%282%28-1%29%29 Plug in a=-1, b=1, and c=2


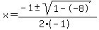
x+=+%28-1+%2B-+sqrt%28+1-4%28-1%29%282%29+%29%29%2F%282%28-1%29%29 Square 1 to get 1.


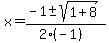
x+=+%28-1+%2B-+sqrt%28+1--8+%29%29%2F%282%28-1%29%29 Multiply 4%28-1%29%282%29 to get -8


x+=+%28-1+%2B-+sqrt%28+1%2B8+%29%29%2F%282%28-1%29%29 Rewrite sqrt%281--8%29 as sqrt%281%2B8%29


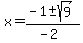
x+=+%28-1+%2B-+sqrt%28+9+%29%29%2F%282%28-1%29%29 Add 1 to 8 to get 9


x+=+%28-1+%2B-+sqrt%28+9+%29%29%2F%28-2%29 Multiply 2 and -1 to get -2.


x+=+%28-1+%2B-+3%29%2F%28-2%29 Take the square root of 9 to get 3.


x+=+%28-1+%2B+3%29%2F%28-2%29 or x+=+%28-1+-+3%29%2F%28-2%29 Break up the expression.


x+=+%282%29%2F%28-2%29 or x+=++%28-4%29%2F%28-2%29 Combine like terms.


x+=+-1 or x+=+2 Simplify.


So the possible answers are x+=+-1 or x+=+2


However, it turns out that if you plug in x+=+-1, then the original equation will be false. So we must ignore x+=+-1



============================================================

Answer:


So the solution is x+=+2