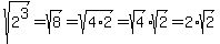
SOLUTION: Can you please help me thank you...:) Page 526 Number 6 I have to simplify and leave the answer in exponent form. square root 2^3

Algebra ->  Square-cubic-other-roots -> SOLUTION: Can you please help me thank you...:) Page 526 Number 6 I have to simplify and leave the answer in exponent form. square root 2^3       Log On


   



Question 145301This question is from textbook Beginning Algebra
: Can you please help me thank you...:)
Page 526
Number 6
I have to simplify and leave the answer in exponent form.
square root 2^3
This question is from textbook Beginning Algebra

Answer by jim_thompson5910(35256) About Me  (Show Source):