SOLUTION: Please help with the following question. Thank you square root of x multiplied by the 4th root of x+4. I am to use Rational exponents to wrtie a single radical expression. T

Algebra ->  Square-cubic-other-roots -> SOLUTION: Please help with the following question. Thank you square root of x multiplied by the 4th root of x+4. I am to use Rational exponents to wrtie a single radical expression. T      Log On


   



Question 142182: Please help with the following question. Thank you
square root of x multiplied by the 4th root of x+4. I am to use Rational exponents to wrtie a single radical expression.
Thanks so much

Answer by jim_thompson5910(35256) About Me  (Show Source):
You can put this solution on YOUR website!
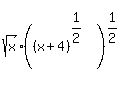
sqrt%28x%29%2Aroot%284%2Cx%2B4%29 Start with the given expression


sqrt%28x%29%2A%28x%2B4%29%5E%281%2F4%29 Rewrite root%284%2Cx%2B4%29 as %28x%2B4%29%5E%281%2F4%29


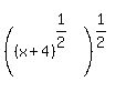
sqrt%28x%29%2A%28%28x%2B4%29%5E%281%2F2%29%29%5E%281%2F2%29 Rewrite %28x%2B4%29%5E%281%2F4%29 as %28%28x%2B4%29%5E%281%2F2%29%29%5E%281%2F2%29. Notice how


sqrt%28x%29%2Asqrt%28%28x%2B4%29%5E%281%2F2%29%29 Rewrite %28%28x%2B4%29%5E%281%2F2%29%29%5E%281%2F2%29 as sqrt%28%28x%2B4%29%5E%281%2F2%29%29


sqrt%28x%29%2Asqrt%28sqrt%28x%2B4%29%29 Rewrite %28x%2B4%29%5E%281%2F2%29 as sqrt%28x%2B4%29


sqrt%28x%2Asqrt%28x%2B4%29%29 Combine the square roots.



So sqrt%28x%29%2Aroot%284%2Cx%2B4%29 simplifies to sqrt%28x%2Asqrt%28x%2B4%29%29


If you want you can go further and do...

sqrt%28sqrt%28x%5E2%29%2Asqrt%28x%2B4%29%29 Rewrite x as sqrt%28x%5E2%29


sqrt%28sqrt%28x%5E2%28x%2B4%29%29%29 Combine the inner square roots


%28%28x%5E2%28x%2B4%29%29%5E%281%2F2%29%29%5E%281%2F2%29 Rewrite each square root as a rational exponent



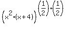
%28x%5E2%28x%2B4%29%29%5E%28%281%2F2%29%281%2F2%29%29 Multiply the exponents


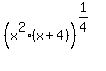
%28x%5E2%28x%2B4%29%29%5E%281%2F4%29 Multiply


root%284%2Cx%5E2%28x%2B4%29%29 Convert the rational expression to a radical expression


root%284%2Cx%5E3%2B4x%5E2%29 Distribute



So sqrt%28x%29%2Aroot%284%2Cx%2B4%29 also simplifies to root%284%2Cx%5E3%2B4x%5E2%29 where x%3E=0