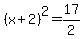
SOLUTION: Solve by completing the square. 2x^2 + 8x – 9 = 0

Algebra ->  Square-cubic-other-roots -> SOLUTION: Solve by completing the square. 2x^2 + 8x – 9 = 0      Log On


   



Question 125909: Solve by completing the square.
2x^2 + 8x – 9 = 0

Answer by josmiceli(19441) About Me  (Show Source):