SOLUTION: Find all real or imaginary solutions to the eqyation. sqrt[7x+29]=x+3
Algebra
->
Square-cubic-other-roots
-> SOLUTION: Find all real or imaginary solutions to the eqyation. sqrt[7x+29]=x+3
Log On
Algebra: Square root, cubic root, N-th root
Section
Solvers
Solvers
Lessons
Lessons
Answers archive
Answers
Click here to see ALL problems on Square-cubic-other-roots
Question 122489
:
Find all real or imaginary solutions to the eqyation.
sqrt[7x+29]=x+3
Answer by
MathLover1(20850)
(
Show Source
):
You can
put this solution on YOUR website!
...rise boyh sides to the 2 power
...
...
...
...
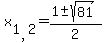
......use quadratis formula
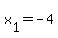
check:
...plug in
...
...
...
...
...plug in
...
...
................since
, we can write
...