SOLUTION: Solve the equation by completing the square x^2+12x= -13

Algebra ->  Square-cubic-other-roots -> SOLUTION: Solve the equation by completing the square x^2+12x= -13      Log On


   



Question 116557: Solve the equation by completing the square
x^2+12x= -13

Answer by josmiceli(19441) About Me  (Show Source):
You can put this solution on YOUR website!
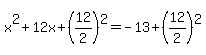
Completing the square means Take half the coefficient of the x term,
square it, and add it to both sides
x%5E2+%2B+12x+=+-13
x%5E2+%2B+12x+%2B+%2812%2F2%29%5E2+=+-13+%2B+%2812%2F2%29%5E2
x%5E2+%2B+12x+%2B+36+=+-13+%2B+36
%28x+%2B+6%29%5E2+=+23
x+%2B+6+=+0+%2B-sqrt%2823%29
x+=+-6+%2B-sqrt%2823%29