SOLUTION: Use the quadratic formula to solve the equation. 2x^2+ 12x =-5

Algebra ->  Square-cubic-other-roots -> SOLUTION: Use the quadratic formula to solve the equation. 2x^2+ 12x =-5      Log On


   



Question 116538: Use the quadratic formula to solve the equation.
2x^2+ 12x =-5

Answer by ankor@dixie-net.com(22740) About Me  (Show Source):
You can put this solution on YOUR website!
Use the quadratic formula to solve the equation.
2x^2+ 12x =-5
:
Put the equation in the ax^2 + bx + c = 0 form, add 5 to both sides:
2x^2 + 12x + 5 = 0
:
In this equation a = 2; b = 12; c = 5
x+=+%28-b+%2B-+sqrt%28+b%5E2-4%2Aa%2Ac+%29%29%2F%282%2Aa%29+
Substitute:
x+=+%28-12+%2B-+sqrt%2812%5E2-4%2A2%2A5+%29%29%2F%282%2A2%29+
:
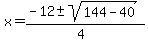
x+=+%28-12+%2B-+sqrt%28144+-+40+%29%29%2F%284%29+
:
x+=+%28-12+%2B-+sqrt%28104%29%29%2F%284%29+
:
Find the square root of 104:
x+=+%28-12+%2B-+10.198%29%2F%284%29+
:
Two solutions
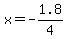
x+=+%28-12+%2B+10.198%29%2F%284%29+
x+=+-1.8%2F4+
x = -.45
and
x+=+%28-12+-+10.198%29%2F%284%29+
x+=+-22.198%2F4
x = -5.55
:
Learn this procedure by heart and you can do any quadratic equation that it's possible to solve. It would be time well spent.