solve Sqrt {2+sqrt {3}}
solve SIMPLIFY
=
=
----- Multiplying RADICAND,
by 1 =
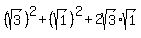
=
=
----- Replacing 4 with 3 + 1, and 3 with 3*1
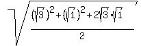
=
=
---- Converting 3 to
, and 1 to
The numerator,
is in the form:
, with a being
, and b being
So,
now becomes:
--- Applying
----- Cancelling square and sqrt in NUMERATOR
------ Rationalizing DENOMINATOR
= 