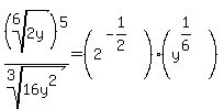
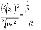
SOLUTION: what is the answer of the sixth root of 2y to the fifth power over the cubic root of 16y square
Algebra
->
Square-cubic-other-roots
-> SOLUTION: what is the answer of the sixth root of 2y to the fifth power over the cubic root of 16y square
Log On
Algebra: Square root, cubic root, N-th root
Section
Solvers
Solvers
Lessons
Lessons
Answers archive
Answers
Click here to see ALL problems on Square-cubic-other-roots
Question 1074028
:
what is the answer of the sixth root of 2y to the fifth power over the cubic root of 16y square
Answer by
Fombitz(32388)
(
Show Source
):
You can
put this solution on YOUR website!