SOLUTION: x-2*sqrt(x-3)=3 solve for zero... I subtract x from both sides which = -2*sqrt(x-3)=3-x then I divide by -2 from both sides sqrt(x-3)=(3-x)/-2 then to get rid of

Algebra ->  Square-cubic-other-roots -> SOLUTION: x-2*sqrt(x-3)=3 solve for zero... I subtract x from both sides which = -2*sqrt(x-3)=3-x then I divide by -2 from both sides sqrt(x-3)=(3-x)/-2 then to get rid of       Log On


   



Question 104710: x-2*sqrt(x-3)=3
solve for zero...
I subtract x from both sides which =
-2*sqrt(x-3)=3-x
then I divide by -2 from both sides
sqrt(x-3)=(3-x)/-2
then to get rid of the "sqrt" ^2 on both sides
x-3=(9+x^2)/4
then I subtract "x" and add 3 to both sides to solve for zero.
0=(9+x^2)/4-x+3
then I find a common denominator of 4 and solve
0=(9+x^2)/4 -4x/4+12/4 which equals 0=(x^2-4x+21)/4
then I multiply 4/1 on both side the loose the denominator.
0=x^2-4x+21 which can not be factored, but my text book gives a solution set of {7,3}. I cant find were I went wrong, please help.
Please note, this question had already been answered but the link to the answer did not work so this is why I am re-submitting it. Thank you.

Found 2 solutions by Fombitz, jim_thompson5910:
Answer by Fombitz(32388) About Me  (Show Source):
You can put this solution on YOUR website!
Here's the step where you got on the wrong path.
x-3=%289%2Bx%5E2%29%2F4
You're missing a term.
%28A%2BB%29%5E2=A%5E2%2Bhighlight%282AB%29%2BB%5E2
Re-work %283-x%29%5E2and continue from there.
You're on the right track otherwise.
Post another question if you get stuck.

Answer by jim_thompson5910(35256) About Me  (Show Source):
You can put this solution on YOUR website!
x-2%2Asqrt%28x-3%29=3 Start with the given equation


-2%2Asqrt%28x-3%29=3-x Subtract x from both sides


sqrt%28x-3%29=%283-x%29%2F-2 Divide both sides by -2



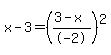
x-3=%28%283-x%29%2F-2%29%5E2 Square both sides


Now this is where you went wrong, when you square 3-x you need to foil it to get 9-6x%2Bx%5E2 instead of 9%2Bx%5E2


x-3=%289-6x%2Bx%5E2%29%2F4 Foil the numerator and square the denominator


x=%289-6x%2Bx%5E2%29%2F4%2B3 Add 3 to both sides


x=%289-6x%2Bx%5E2%29%2F4%2B3%284%2F4%29 Multiply 3 by 4%2F4


x=%289-6x%2Bx%5E2%29%2F4%2B12%2F4 Multiply


x=%289-6x%2Bx%5E2%2B12%29%2F4 Add the fractions


x=%28-6x%2Bx%5E2%2B21%29%2F4 Combine like terms


4x=-6x%2Bx%5E2%2B21 Multiply both sides by 4


0=-6x%2Bx%5E2%2B21-4x Subtract 4x from both sides


0=x%5E2%2B21-10x Combine like terms

0=x%5E2-10x%2B21 Rearrange the terms


Solved by pluggable solver: Quadratic Formula
Let's use the quadratic formula to solve for x:


Starting with the general quadratic


ax%5E2%2Bbx%2Bc=0


the general solution using the quadratic equation is:


x+=+%28-b+%2B-+sqrt%28+b%5E2-4%2Aa%2Ac+%29%29%2F%282%2Aa%29




So lets solve x%5E2-10%2Ax%2B21=0 ( notice a=1, b=-10, and c=21)





x+=+%28--10+%2B-+sqrt%28+%28-10%29%5E2-4%2A1%2A21+%29%29%2F%282%2A1%29 Plug in a=1, b=-10, and c=21




x+=+%2810+%2B-+sqrt%28+%28-10%29%5E2-4%2A1%2A21+%29%29%2F%282%2A1%29 Negate -10 to get 10




x+=+%2810+%2B-+sqrt%28+100-4%2A1%2A21+%29%29%2F%282%2A1%29 Square -10 to get 100 (note: remember when you square -10, you must square the negative as well. This is because %28-10%29%5E2=-10%2A-10=100.)




x+=+%2810+%2B-+sqrt%28+100%2B-84+%29%29%2F%282%2A1%29 Multiply -4%2A21%2A1 to get -84




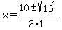
x+=+%2810+%2B-+sqrt%28+16+%29%29%2F%282%2A1%29 Combine like terms in the radicand (everything under the square root)




x+=+%2810+%2B-+4%29%2F%282%2A1%29 Simplify the square root (note: If you need help with simplifying the square root, check out this solver)




x+=+%2810+%2B-+4%29%2F2 Multiply 2 and 1 to get 2


So now the expression breaks down into two parts


x+=+%2810+%2B+4%29%2F2 or x+=+%2810+-+4%29%2F2


Lets look at the first part:


x=%2810+%2B+4%29%2F2


x=14%2F2 Add the terms in the numerator

x=7 Divide


So one answer is

x=7




Now lets look at the second part:


x=%2810+-+4%29%2F2


x=6%2F2 Subtract the terms in the numerator

x=3 Divide


So another answer is

x=3


So our solutions are:

x=7 or x=3





So this means the solution set is {7,3}