SOLUTION: I need help. simplify. do not evaluate exponential numbers. a) (3^-2/4^3)^-1 * (3/4) b) 3^-1*2^2*3^3 / 2^2*3^2 + (3/2)^0 c) (7^4*6^3*7^-5/7^-3*6^0)^2 / (6^5*7^-2/6^-4

Algebra ->  Square-cubic-other-roots -> SOLUTION: I need help. simplify. do not evaluate exponential numbers. a) (3^-2/4^3)^-1 * (3/4) b) 3^-1*2^2*3^3 / 2^2*3^2 + (3/2)^0 c) (7^4*6^3*7^-5/7^-3*6^0)^2 / (6^5*7^-2/6^-4      Log On


   



Question 1017156: I need help.
simplify. do not evaluate exponential numbers.
a) (3^-2/4^3)^-1 * (3/4)
b) 3^-1*2^2*3^3 / 2^2*3^2 + (3/2)^0
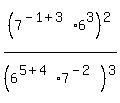
c) (7^4*6^3*7^-5/7^-3*6^0)^2 / (6^5*7^-2/6^-4)^3

Answer by MathTherapy(10839) About Me  (Show Source):
You can put this solution on YOUR website!
I need help.  

simplify. do not evaluate exponential numbers.

a) (3^-2/4^3)^-1 * (3/4)

b) 3^-1*2^2*3^3 / 2^2*3^2 + (3/2)^0

c) (7^4*6^3*7^-5/7^-3*6^0)^2 / (6^5*7^-2/6^-4)^3
************************************************
Responding to c), the SEEMINGLY most complex of the 3.

c)  =  = %287%5E%28-+1%29%2A6%5E3%2F7%5E%28-+3%29%29%5E2%2F%286%5E5%2A7%5E-2%2F6%5E%28-+4%29%29%5E3 = %287%5E%28-+1+-+-+3%29+%2A+6%5E3%29%5E2%2F%286%5E%285+-+-+4%29+%2A+7%5E%28-+2%29%29%5E3 = %287%5E%28-+1+%2B+3%29+%2A+6%5E3%29%5E2%2F%28+6%5E%285+%2B+4%29+%2A+7%5E%28-+2%29%29%5E3
       %287%5E2+%2A+6%5E3%29%5E2%2F%286%5E9+%2A+7%5E%28-+2%29%29%5E3 = %287%5E4+%2A+6%5E6%29%2F%286%5E27+%2A+7%5E%28-+6%29%29 = 7%5E%284+-+-+6%29+%2A+6%5E%286+-+27%29 = 7%5E%284+%2B+6%29%2A6%5E%28-+21%29 = highlight%287%5E10%2A6%5E%28-+21%29%29, or highlight%287%5E10%2F6%5E21%29