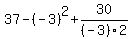
SOLUTION: What is the correct way to solve this? The answer is 8 but I keep getting 23. {{{ 37 - (-3)^2 + 30 / (-3) 2 }}} Now I tried to do order of operations but I keep getting 23.

Algebra ->  Signed-numbers -> SOLUTION: What is the correct way to solve this? The answer is 8 but I keep getting 23. {{{ 37 - (-3)^2 + 30 / (-3) 2 }}} Now I tried to do order of operations but I keep getting 23.       Log On


   



Question 772215: What is the correct way to solve this? The answer is 8 but I keep getting 23.
+37+-+%28-3%29%5E2+%2B+30+%2F+%28-3%29+2+

Now I tried to do order of operations but I keep getting 23. This is a review for a final but I have the answer sheet to check my self and it says the answer is 8. What am I doing wrong? I need to see the exact way to do it if you could please?

Found 2 solutions by oscargut, solver91311:
Answer by oscargut(2103) About Me  (Show Source):
You can put this solution on YOUR website!
= 37 -9 -5 =
37-14 = 23
Answer: 23
I can help you with more questions at: mthman@gmail.com
Thanks

Answer by solver91311(24713) About Me  (Show Source):
You can put this solution on YOUR website!


I can't get either 8 or 23 out of what you have rendered here. Stop trying to be fancy with Igor's formula writer. Review Formatting Math as Text and then repost your problem.

John

Egw to Beta kai to Sigma
My calculator said it, I believe it, that settles it
The Out Campaign: Scarlet Letter of Atheism