SOLUTION: An experienced bricklayer can work twice as fast as an apprentice bricklayer. After they worked together on a job for 12 h, the experienced bricklayer quit. The apprentice required
Algebra ->
Signed-numbers
-> SOLUTION: An experienced bricklayer can work twice as fast as an apprentice bricklayer. After they worked together on a job for 12 h, the experienced bricklayer quit. The apprentice required
Log On
Question 373417: An experienced bricklayer can work twice as fast as an apprentice bricklayer. After they worked together on a job for 12 h, the experienced bricklayer quit. The apprentice required 12 more hours to finish the job. How long would it take the experienced bricklayer, working alone, to do the job? Answer by josmiceli(19441) (Show Source):
You can put this solution on YOUR website! Let = the apprentices rate of working
Then = the experienced bricklayer's rate of working
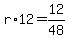
If I add their rates and multiply by hours worked, that
will give me the fraction of the job completed
When the experienced bricklayer quit, that fraction is
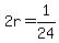
Now the remaining fraction of the job is done in 12 hours
That fraction is
Now I can say
The experienced bricklayer takes 24 hours to do the job alone
check answer:
Working together, they did 3/4 of the job
Then the apprentice did 1/4 of the job alone