SOLUTION: Find the domain, range, and intercepts of the function A(x) = 4x•sqrt{1 - x^2}. Finally, graph the function.

Algebra ->  Signed-numbers -> SOLUTION: Find the domain, range, and intercepts of the function A(x) = 4x•sqrt{1 - x^2}. Finally, graph the function.       Log On


   



Question 1208035: Find the domain, range, and intercepts of the function
A(x) = 4x•sqrt{1 - x^2}. Finally, graph the function.


Found 5 solutions by Edwin McCravy, math_tutor2020, mccravyedwin, ikleyn, AnlytcPhil:
Answer by Edwin McCravy(20086) About Me  (Show Source):
You can put this solution on YOUR website!

Now it's finished.

Answer by math_tutor2020(3837) About Me  (Show Source):
You can put this solution on YOUR website!

I'll provide a supplement to the other tutor's work.
Specifically I'll show another way of solving 1-x%5E2+%3E=+0

1-x%5E2+%3E=+0

1%3E=x%5E2

x%5E2%3C=1

sqrt%28x%5E2%29%3C=sqrt%281%29 Since the square root function is an increasing function, applying it to both sides does not flip the inequality sign.

abs%28x%29%3C=1

-1%3C=x%3C=1 is the domain

The rule I used was |x| < k is the same as -k < x < k for some positive real number k.

Answer by mccravyedwin(421) About Me  (Show Source):
You can put this solution on YOUR website!
A%28x%29+=+4x%2Asqrt%281+-+x%5E2%29

We find the x-intercept(s) by setting A(x) = 0

0+=+4x%2Asqrt%281+-+x%5E2%29

4x=0;   sqrt%281-x%5E2%29=0
 x=0;   1-x%5E2=0
               1=x%5E2
               %22%22%2B-1=x

So the x-intercepts are (-1,0), (0,0), (1,0

We find the y-intercept(s) by setting x = 0  

A%280%29+=+4%280%29%2Asqrt%281+-+%280%29%5E2%29
A%280%29+-+0

So the y-intercept is (0,0) which is both an x- and a y-intercept.


A%28x%29+=+4x%2Asqrt%281+-+x%5E2%29

Since a square root's radicand cannot be negative

1-x%5E2%3E=0
%281-x%29%281%2Bx%29%3E=0

So either both factor are positive or both negative

matrix%281%2C3%2C1-x%3E=0%2CAND%2C1%2Bx%3E=0%29 OR matrix%281%2C3%2C1-x%3C=0%2CAND%2C1%2Bx%3C=0%29
matrix%281%2C3%2C1%3E=x%2CAND%2Cx%3E=-1%29 OR cross%28matrix%281%2C3%2C1%3C=x%2CAND%2Cx%3C-1%29%29

So the domain is -1%3C=x%3C=1 or in interval notation [-1,1]




For the range, we must find the maxima and minima

A%28x%29+=+4x%2Asqrt%281+-+x%5E2%29

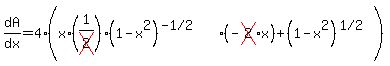
A%28x%29+=+4%2A%28x%2A%281+-+x%5E2%29%5E%28%221%2F2%22%29%5E%22%22%29









We can factor the -1/2 power out of both terms and since 1%2F2-%28-1%2F2%29=1,
we will just have the 1st power of the parenthetical expression:



Now I'll let you simplify that down to

dA%2Fdx=%22%22+%2B-+%284-8x%5E2%29%2Fsqrt%281-x%5E2%29

Set that = 0 and you get the x-coordinates of the maximum and minimum points

4-8x%5E2=0
4=8x%5E2
4%2F8=x%5E2
1%2F2=x%5E2
%22%22+%2B-+sqrt%281%2F2%29=x

Substituting:

A%28%22%22+%2B-+1%2Fsqrt%282%29+%29 = %22%22+%2B-+4%281%2Fsqrt%282%29%29%2Asqrt%281+-+%281%2Fsqrt%282%29%29%5E2%29%29

A%28%22%22+%2B-+1%2Fsqrt%282%29+%29 = %28%22%22+%2B-+4%2Fsqrt%282%29%29sqrt%281+-+1%2F2%29

A%28%22%22+%2B-+1%2Fsqrt%282%29+%29 = %22%22+%2B-+%284%2Fsqrt%282%29%29%281%2Fsqrt%282%29%29

A%28%22%22+%2B-+1%2Fsqrt%282%29+%29 = %22%22+%2B-+4%2F2

A%28%22%22+%2B-+1%2Fsqrt%282%29+%29 = %22%22+%2B-+2

So the range is -2%3C=x%3C=2 or in interval notation [-2,2]

Edwin

Answer by ikleyn(53891) About Me  (Show Source):
You can put this solution on YOUR website!
.
Find the domain, range, and intercepts of the function
A(x) = 4x•sqrt{1 - x^2}. Finally, graph the function.
~~~~~~~~~~~~~~~~~~~


        In this problem,  finding domain is a simple elementary task:  the domain is  [-1,1].

        Finding  x-intercepts is also simple elementary task:  they are  -1,  0  and  1  on  x-axis.

        The key issue is to find the range.
        Tutor  Edwin made it in his post,  using derivatives and  Calculus; it requires a painstaking technique.

        Here I will show another way to find the range, which uses simple elementary Algebra with minimum calculations.


Let real number "t" belongs to the range.  It means that

    4x%2Asqrt%281-x%5E2%29 = t    (1)

for some value of x.  Square bot sides of (1).  You will get

    16x%5E2%2A%281-x%5E2%29 = t^2

    16x%5E4+-+16x%5E2+%2B+t%5E2 = 0.    (2)


You can consider equation (2) as a quadratic equation relative x%5E2.


The condition that it has a real solution for  x%5E2 is this inequality for the discriminant

    b%5E2+-+4ac >= 0,  or  %28-16%29%5E2+-+4%2A16%2At%5E2 >= 0,  or  256 >= 4%2A16%2At%5E2.


It implies  t%5E2 <= 4;  hence,  |t| <= 2,  or  -2 <= t <= 2.


Thus, equation (1) has a real solution if and only if  -2 <= t <= 2.


So, the range of the function  4x%2Asqrt%281-x%5E2%29  is this interval  -2 <= t <= 2,  or t belongs  [-2,2].    ANSWER

Solved.

Thus, this problem can be solved in this simple way much easier than applying Calculus.


Surely, the Calculus approach is like a heavy army tank: it is universal and works everywhere.

So, if you know Calculus and do not afraid to apply it, boldly go forward.

But if the teacher gave you similar problem long before you learn Calculus,
know and remember that this method from my post probably works.


This problem is a typical Math Olympiad level problem or a Math circle level problem
for 9-th grades high school students, who just know Algebra, but still don't know Calculus.



Answer by AnlytcPhil(1810) About Me  (Show Source):
You can put this solution on YOUR website!
The student said in a thank-you note to me:

"This is probably your best reply ever."

So I assume s/he is a calculus student.  It seemed likely to me because

teachers do not assign Math Olympiad type problems to students.  But finding

the range makes this a very good maxima and minima problem.  Only a calculus 

teacher would assign this.  It requires the factoring of a -1/2 power out of 

a 1/2 power, leaving a power of 1, which is a necessary technique in 

taking derivatives of expressions involving roots. That's because the
 
product and quotient rules for differentiation often involve exponents which 

differ by one, whenever the power rule is used, which is always the case in

expressions with roots. 

Edwin