This Lesson (BASICS - Geometric Series) was created by by longjonsilver(2297)  : View Source, ShowAbout longjonsilver: I have a new job in September, teaching
Introduction
Geometric Series or Progressions are sequences of numbers that increment by a fixed common multiple eg 1,2,4,8,16,... is a Geometric series with common ratio of 2.
Definitions
Let r = common ratio
Let a = first term
Let n = number of terms
Let Sn = sum of first n terms
So, in the sequence 10,5,2.5,1.25,... we have:
first term is 10 --> a = 10
ratio is 1/2 --> r = 1/2
nth Term
Algebraically:
1st term = 
2nd term = 
3rd term = 
4th term = 
5th term = 
6th term = 
and so on.
In general, the nth term is given as
-->
EXAMPLES
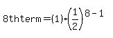
Q. Find the 8th term of the sequence 1, , , ,...
A. a=1, r= , n=8.



which we can verify by writing out the first 8 terms in full:
1, , , , , , , ,
Summation
The summation of n terms is given by:
or
EXAMPLES
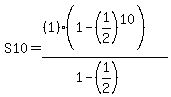
Q. Find the sum of the first 10 terms of the sequence 1, , , ,...
a=1, r= , n=10
--> 





--> S10 = 1.9980
Further Example
Q. The second term of a geometric series is and the sixth term is . Find the common ratio, the ninth term, the sum of the first 8 terms and the sum of the first 20 terms.
We do not know a, which is crucial in all the calculations, so we are aiming to find that as well as r.
So, what we do know is the following:
2nd term, 
6th term,
divide these to give 

which is because
So, using this in we have

--> 
--> a = 16/27
The 10th term = 
The 10th term = 
The 10th term = 
The 10th term = 22.78125
Now for the sum of 8 terms:



S8 = 29.18981481
Now for the sum of 20 terms:


S20 = 3939.859828
Sum to Infinity
Geometric Series have a further application to their summation formula. When |r|<1, the numbers in the series get progressively smaller. If we add these up, the sum approaches a certain value. This differs from cases where |r|>1, as in the example above, where as n increases, so the sum increases too and would carry on increases and increases getting bigger and bigger.
So, with the stipulation that |r|<1, the sum to infinity of a Geometric Series is
--> Sum to infinity = for |r|<1
EXAMPLE
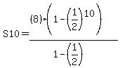
Q. For the Geometric series 8, 4, 2, 1, 1/2,... Find the sum to the first ten terms and then find the sum to infinity.
a=8
r=1/2
Just looking at the terms, we have 8+4+2+1+(1/2)+... this part is 15.5. Subsequent terms are getting smaller and so the sum will not increase appreciably. In fact, the sum will head towards a certain value...this is the "sum to infinity". We could guess and say it is probably 16.



S10 = 15.984375
Sum to infinity:



--> Sum to infinity = 16
Summary
This is the introduction to Geometric Series'. However, with the question quoted at the end here, I have covered all of the major aspects of the topic. It is all about practice now: practice using the "nth term" and "summation" formulae.
This lesson has been accessed 51701 times.
|