Question 995635: I have to use one of the arithmetic series formula. The arithmetic series 5 + 9 + 13 +...+ tn has a sum of 945. How many terms does this series have?
Found 2 solutions by MathLover1, atique.ah: Answer by MathLover1(20855) (Show Source):
You can put this solution on YOUR website!
, , ,+...+ has a sum of
I can see from the sequence , , , ... that each term is more than the previous term.
The first term is .
The second term is .
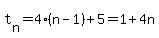
The third term is fours plus : .
Thus the nth term must be fours plus .
That is .
Thus the term series is:
+ ... +
You can find the sum of this series by writing it forward and backwards and then adding down
+ ... 
+ ... + 9 + 5}}}
+ ... +
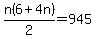
Since there are terms in the series, we have
and thus
since given the sum
solve for to find how many terms are in this sequence
....disregard negative solution
so, there is terms in your sequence, and they are
, , , , , , , , , , , , , , , , , , , ,
check their sum:
Answer by atique.ah(27) (Show Source):
|
|
|