SOLUTION: find the sum of the first 14 terms for 1+4 +16 + 64+.... I need help on how to set this up and how to work it out and someone could walk me through this it would great

Algebra ->  Sequences-and-series -> SOLUTION: find the sum of the first 14 terms for 1+4 +16 + 64+.... I need help on how to set this up and how to work it out and someone could walk me through this it would great       Log On


   



Question 986820: find the sum of the first 14 terms for 1+4 +16 + 64+.... I need help on how to set this up and how to work it out and someone could walk me through this it would great
Answer by mananth(16946) About Me  (Show Source):
You can put this solution on YOUR website!
1+4 +16 + 64+....
number of terms = 16
first term = 1
we get the next term by multiplying by a factor of 4
so 4 is called the common rato of the consecutive terms
hence this is a geometric sequence
the formula for sum of n terms of a geometric sequence is

Use this formula:
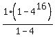
Sn+=+a%2A%281-r%5En%29%2F%281-r%29
a is the first term
r is the "common ratio" between terms
n is the number of terms
Sum of 16 terms=1%281-4%5E16%29%2F%281-4%29

=1431655765