SOLUTION: ∫(7x+8)/(2x^2+11x+5) dx integral by partial fraction

Algebra ->  Sequences-and-series -> SOLUTION: ∫(7x+8)/(2x^2+11x+5) dx integral by partial fraction       Log On


   



Question 985388: ∫(7x+8)/(2x^2+11x+5) dx integral by partial fraction

Answer by Edwin McCravy(20062) About Me  (Show Source):
You can put this solution on YOUR website!
Rather than do your problem for you, I will instead do one 
EXACTLY like yours, step by step.  Instead of yours I will 
do this one:

int%28%285x%2B7%29%2F%283x%5E2%2B11x-4%29%2Cdx%29

We factor the denominator and set up for partial fractions:

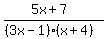
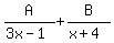
%285x%2B7%29%2F%28%283x-1%29%28x%2B4%29%29%22%22=%22%22}A%2F%283x-1%29%2BB%2F%28x%2B4%29

Clear fractions:

5x%2B7%22%22=%22%22A%28x%2B4%29%2BB%283x-1%29

5x%2B7%22%22=%22%22Ax%2B4A%2B3Bx-B

Equate the coefficients of x:

5%22%22=%22%22A%2B3B

Equate the constant terms

7%22%22=%22%224A-B

Solve the system of equations by substitution:

system%28A%2B3B=5%2C4A-B=7%29

A=5-3B,       4A-B=7
         4(5-3B)-B=7 
          20-12B-B=7
            20-13B=7
              -13B=-13
                 B=1

A=5-3(1)
A=5-3
A=2

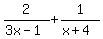
%285x%2B7%29%2F%28%283x-1%29%28x%2B4%29%29%22%22=%22%22}2%2F%283x-1%29%2B1%2F%28x%2B4%29

int%28%285x%2B7%29%2F%283x%5E2%2B11x-3%29%2Cdx%29%22%22=%22%22

int%28%282%2F%283x-1%29%2B1%2F%28x%2B4%29%29%2Cdx%29%22%22=%22%22int%28%282%2F%283x-1%29%29%2Cdx%29%22%22%2B%22%22int%28%281%2F%28x%2B4%29%29%2Cdx%29%22%22=%22%22

2int%28%281%2F%283x-1%29%29%2Cdx%29%22%22%2B%22%22ln%28x%2B4%29%22%22%2B%22%22C%22%22=%22%22

expr%282%2F3%29int%28%283%2F%283x-1%29%29%2Cdx%29%22%22%2B%22%22ln%28x%2B4%29%22%22%2B%22%22C%22%22=%22%22 expr%282%2F3%29ln%283x-1%29%22%22%2B%22%22ln%28x%2B4%29%22%22%2B%22%22C

Edwin