You can put this solution on YOUR website! Hi dear,
Do you mean
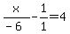
If that is what you
meant by x/-6-1=4,please try to seperate the quantities or the variables with bracket ( ) or type your like the one above.
HERE IS THE WORKING
find the common denominator for both of the fractions sa this;
You can now multiply out to get;
x+6=-24
From the above,
x=-24-6
x=-30
The value of x is -30
HOPE THIS HELPS:
Best regards,
Timnewman:;